CIUDAD DE MÉXICO.- Esta es la operación que está ocasionando tanta violencia en Facebook.

Parece muy simple, ¿no?
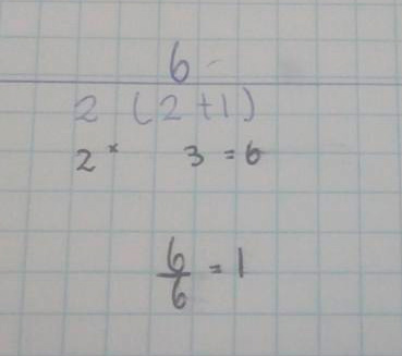
Pues a partir de ella han surgido dos escuelas de pensamiento.
Y ambos bandos se odian a muerte.

#Team9 dice que primero se hace la división.
#Team1 dice que primero se multiplica.
Es el enfrentamiento del siglo.
La calculadora del celular no puede ayudarnos con este dilema.

Y las científicas sólo nos dejaron más confundidos.
Los que no pudieron luchar con lógica, pelearon con memes.
Memes mal hechos.
El equipo 1 no cree que sus contrincantes puedan entenderle.

Y eso que su razonamiento parece muy claro.
Pero también el del 9.
Los argumentos son inútiles. La batalla sigue.
No discutimos para hallar la verdad, discutimos para ganar.

Las matemáticas no se resuelven con encuestas.
¿Por qué no podemos vivir todos en paz?

1.Ya sabemos que las ciencias duras no son un tema de popularidad, pero cuéntanos.
¿A ti qué te salió?
Con información de Buzzfeed.




